0%

『LeetCode』508 出现次数最多的子树元素和

题目

508. 出现次数最多的子树元素和

给你一个二叉树的根结点 root ,请返回出现次数最多的子树元素和。如果有多个元素出现的次数相同,返回所有出现次数最多的子树元素和(不限顺序)。

一个结点的 「子树元素和」 定义为以该结点为根的二叉树上所有结点的元素之和(包括结点本身)。

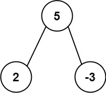
示例 1:

freq1-tree.jpg

输入: root = [5,2,-3]
输出: [2,-3,4]

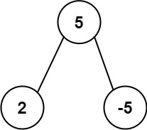
示例 2:

freq2-tree.jpg

输入: root = [5,2,-5]
输出: [2]

提示:

  • 节点数在 [1, 104] 范围内
  • −105 <  = Node.val <  = 105

标签

树, 深度优先搜索, 哈希表, 二叉树

相似题目


题解

【出现次数最多的子树元素和】二叉树遍历&哈希表计数

模拟

按照题目要求,遍历二叉树并使用哈希表统计各个子树的元素和即可。

较简单的实现方法是常规的后序递归,函数返回值为子树的元素和。

1
2
3
4
5
6
7
8
9
10
11
12
13
14
15
16
# Code language: Python
class Solution:
def findFrequentTreeSum(self, root: TreeNode) -> List[int]:
cnt = Counter()

def dfs(root):
if root:
s = root.val + dfs(root.left) + dfs(root.right)
cnt[s] += 1
return s
else:
return 0

dfs(root)
val = max(cnt.values())
return [k for k, v in cnt.items() if v == val]
1
2
3
4
5
6
7
8
9
10
11
12
13
14
15
16
17
18
19
20
21
22
23
24
25
26
27
28
29
30
31
// Code language: Java
class Solution {
public int[] findFrequentTreeSum(TreeNode root) {
Map<Integer, Integer> st = new HashMap<>();
dfs(root, st);
int cnt = 0, maxVal = Integer.MIN_VALUE;
for (int v : st.values()) {
if (v == maxVal)
++cnt;
else if (v > maxVal) {
maxVal = v;
cnt = 1;
}
}
int[] ans = new int[cnt];
cnt = 0;
for (int k : st.keySet()) {
if (st.get(k) == maxVal)
ans[cnt++] = k;
}
return ans;
}

public int dfs(TreeNode root, Map<Integer, Integer> st) {
if (root == null)
return 0;
int cnt = root.val + dfs(root.left, st) + dfs(root.right, st);
st.put(cnt, st.getOrDefault(cnt, 0) + 1);
return cnt;
}
}
1
2
3
4
5
6
7
8
9
10
11
12
13
14
15
16
17
18
19
20
21
// Code language: C++
class Solution {
public:
vector<int> findFrequentTreeSum(TreeNode *root) {
int maxVal = INT32_MIN;
unordered_map<int, int> st;
function<int(TreeNode *)> dfs = [&st, &dfs, &maxVal](TreeNode *root) {
if (root == nullptr) return 0;
int cnt = root->val + dfs(root->left) + dfs(root->right);
st[cnt]++;
maxVal = max(maxVal, st[cnt]);
return cnt;
};
dfs(root);
vector<int> ans;
for (auto &kv : st) {
if (kv.second == maxVal) ans.emplace_back(kv.first);
}
return ans;
}
};
  • 时间复杂度: O(n), n 为二叉树中的结点数量
  • 空间复杂度: O(n)

如果对你有帮助的话,请给我点个赞吧~

欢迎前往 我的博客Algorithm - Github 查看更多题解

--- ♥ end ♥ ---

欢迎关注我呀~