0%

『LeetCode』剑指 Offer II 029 排序的循环链表

题目

剑指 Offer II 029. 排序的循环链表

给定循环单调非递减列表中的一个点,写一个函数向这个列表中插入一个新元素 insertVal ,使这个列表仍然是循环升序的。

给定的可以是这个列表中任意一个顶点的指针,并不一定是这个列表中最小元素的指针。

如果有多个满足条件的插入位置,可以选择任意一个位置插入新的值,插入后整个列表仍然保持有序。

如果列表为空(给定的节点是 null),需要创建一个循环有序列表并返回这个节点。否则。请返回原先给定的节点。

示例 1:

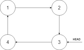
sample_1_before

输入:head = [3,4,1], insertVal = 2
输出:[3,4,1,2]
解释:在上图中,有一个包含三个元素的循环有序列表,你获得值为 3 的节点的指针,我们需要向表中插入元素 2 。新插入的节点应该在 1 和 3 之间,插入之后,整个列表如上图所示,最后返回节点 3 。

sample_1_after

示例 2:

输入:head = [], insertVal = 1
输出:[1]
解释:列表为空(给定的节点是 null),创建一个循环有序列表并返回这个节点。

示例 3:

输入:head = [1], insertVal = 0
输出:[1,0]

提示:

  • 0 <  = NumberofNodes <  = 5 * 104
  • −106 <  = Node.val <  = 106
  • −106 <  = insertVal <  = 106

注意:本题与主站 708 题相同: https://leetcode-cn.com/problems/insert-into-a-sorted-circular-linked-list/(这个是会员题)

标签

链表


题解

【排序的循环链表】简单模拟

模拟

按照要求,只需遍历链表,找到满足 p.val <= insertVal <= p.next.val 的结点 p 然后在 p 后面插入新结点即可,但是注意有两种情况不存在这样的结点 p:

  • 所有结点的值都相同或只有一个结点,且 p.val != insertVal, 这种情况所给结点插入任意位置均可以,只需判断是遍历指针是否回到 head 即可知道是否是这种情况
  • insertVal 大于链表所有结点值或小于链表结点值,这种情况插入点应当在最大结点后面最小结点前面,但由于是循环链表,所以最大结点后面最小结点前面实际上是同一个位置,即遍历链表中唯一一个不满足单调增加的点,找到这个点即可

除此之外,空链表的情况也需要特殊处理。

1
2
3
4
5
6
7
8
9
10
11
12
13
14
15
16
17
18
# Code language: Python
class Solution:
def insert(self, head: 'Node', insertVal: int) -> 'Node':
if head is None:
head = Node(insertVal)
head.next = head
return head
# 找 p.val <= insertVal <= p.next.val
p = head
while not (p.val <= insertVal <= p.next.val):
p = p.next
# 有两种情况找不到这样的位置
# 一是给定值比所有结点值都大, 二是给定值比所有结点值都小
# 这两种情况的插入位置都在链表唯一非递增的位置
if p == head or (p.val > p.next.val and (insertVal >= p.val or insertVal <= p.next.val)):
break
p.next = Node(insertVal, p.next)
return head
1
2
3
4
5
6
7
8
9
10
11
12
13
14
15
16
17
18
// Code language: Java
class Solution {
public Node insert(Node head, int insertVal) {
if (head == null) {
Node ans = new Node(insertVal);
ans.next = ans;
return ans;
}
Node p = head;
while (!(p.val <= insertVal && insertVal <= p.next.val)) {
p = p.next;
if (p == head || (p.val > p.next.val && (insertVal >= p.val || insertVal <= p.next.val)))
break;
}
p.next = new Node(insertVal, p.next);
return head;
}
}
1
2
3
4
5
6
7
8
9
10
11
12
13
14
15
16
17
18
19
// Code language: C++
class Solution {
public:
Node* insert(Node* head, int insertVal) {
if (head == nullptr) {
Node* ans = new Node(insertVal);
ans->next = ans;
return ans;
}
Node* p = head;
while (!(p->val <= insertVal && insertVal <= p->next->val)) {
p = p->next;
if (p == head || (p->val > p->next->val && (insertVal >= p->val || insertVal <= p->next->val)))
break;
}
p->next = new Node(insertVal, p->next);
return head;
}
};
1
2
3
4
5
6
7
8
9
10
11
12
13
14
15
16
17
18
// Code language: C#
public class Solution {
public Node Insert(Node head, int insertVal) {
if (head == null) {
Node ans = new Node(insertVal);
ans.next = ans;
return ans;
}
Node p = head;
while (!(p.val <= insertVal && insertVal <= p.next.val)) {
p = p.next;
if (p == head || (p.val > p.next.val && (insertVal >= p.val || insertVal <= p.next.val)))
break;
}
p.next = new Node(insertVal, p.next);
return head;
}
}
1
2
3
4
5
6
7
8
9
10
11
12
13
14
15
16
17
18
19
20
21
// Code language: C
struct Node* insert(struct Node* head, int insertVal) {
if (head == NULL) {
struct Node* ans = (struct Node*) malloc(sizeof(struct Node));
ans->val = insertVal;
ans->next = ans;
return ans;
}
struct Node* p = head, *tmp;
while (!(p->val <= insertVal && insertVal <= p->next->val)) {
p = p->next;
if (p == head || (p->val > p->next->val && (insertVal >= p->val || insertVal <= p->next->val)))
break;
}
tmp = p->next;
p->next = (struct Node*) malloc(sizeof(struct Node));
p = p->next;
p->val = insertVal;
p->next = tmp;
return head;
}
  • 时间复杂度: O(n)
  • 空间复杂度: O(1)

如果对你有帮助的话,请给我点个赞吧~

欢迎前往 我的博客Algorithm - Github 查看更多题解

--- ♥ end ♥ ---

欢迎关注我呀~