0%

『LeetCode』669 修剪二叉搜索树

题目

669. 修剪二叉搜索树

给你二叉搜索树的根节点 root ,同时给定最小边界low 和最大边界 high。通过修剪二叉搜索树,使得所有节点的值在[low, high]中。修剪树 不应该 改变保留在树中的元素的相对结构 (即,如果没有被移除,原有的父代子代关系都应当保留)。 可以证明,存在 唯一的答案

所以结果应当返回修剪好的二叉搜索树的新的根节点。注意,根节点可能会根据给定的边界发生改变。

示例 1: >
> > 输入:root = [1,0,2], low = 1, high = 2
> 输出:[1,null,2]

示例 2: >
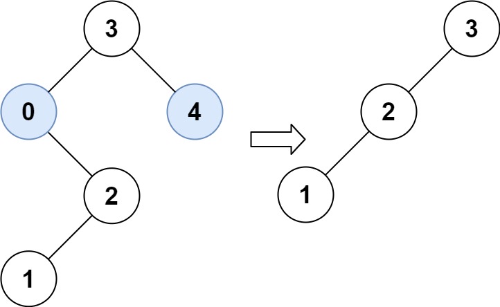
> > 输入:root = [3,0,4,null,2,null,null,1], low = 1, high = 3
> 输出:[3,2,null,1]

提示:

  • 树中节点数在范围 [1, 10^{4}]
  • 0 <= Node.val <= 10^{4}
  • 树中每个节点的值都是 唯一
  • 题目数据保证输入是一棵有效的二叉搜索树
  • 0 <= low <= high <= 10^{4}

标签

树, 深度优先搜索, 二叉搜索树, 二叉树


题解

【修剪二叉搜索树】简单二叉树遍历

递归模拟

不难发现,我们只需要遍历二叉树把不符合要求的结点删掉即可,有两种情况需要删除:

  • 根节点比 left 小,由二叉搜索树的性质以及小于的传递性可知,左子树的值都小于根节点也小于 left, 所以这种情况应该用右子树替代左子树再对右子树进行修剪
  • 根节点比 right 大,同理可得,应该用修剪后的左子树替代原先的根节点
1
2
3
4
5
6
7
8
9
10
11
12
13
# Code language: Python
class Solution:
def trimBST(self, root: Optional[TreeNode], low: int, high: int) -> Optional[TreeNode]:
if not root:
return None
if root.val < low:
return self.trimBST(root.right, low, high)
elif root.val > high:
return self.trimBST(root.left, low, high)
else:
root.left = self.trimBST(root.left, low, high)
root.right = self.trimBST(root.right, low, high)
return root
1
2
3
4
5
6
7
8
9
10
11
12
13
// Code language: Java
class Solution {
public TreeNode trimBST(TreeNode root, int low, int high) {
if (root == null) return null;
if (root.val < low) return trimBST(root.right, low, high);
else if (root.val > high) return trimBST(root.left, low, high);
else {
root.left = trimBST(root.left, low, high);
root.right = trimBST(root.right, low, high);
}
return root;
}
}
1
2
3
4
5
6
7
8
9
10
11
12
13
14
// Code language: C++
class Solution {
public:
TreeNode* trimBST(TreeNode* root, int low, int high) {
if (root == nullptr) return nullptr;
if (root->val < low) return trimBST(root->right, low, high);
else if (root->val > high) return trimBST(root->left, low, high);
else {
root->left = trimBST(root->left, low, high);
root->right = trimBST(root->right, low, high);
}
return root;
}
};
1
2
3
4
5
6
7
8
9
10
11
12
13
14
15
16
17
/* Code language: JavaScript */
/**
* @param {TreeNode} root
* @param {number} low
* @param {number} high
* @return {TreeNode}
*/
var trimBST = function(root, low, high) {
if (root == null) return null;
if (root.val < low) return trimBST(root.right, low, high);
else if (root.val > high) return trimBST(root.left, low, high);
else {
root.left = trimBST(root.left, low, high);
root.right = trimBST(root.right, low, high);
}
return root;
};
  • 时间复杂度: O(n)
  • 空间复杂度: O(1)

如果对你有帮助的话,请给我点个赞吧~

欢迎前往 我的博客Algorithm - Github 查看更多题解

--- ♥ end ♥ ---

欢迎关注我呀~