0%

『LeetCode』513 找树左下角的值

题目

513. 找树左下角的值

给定一个二叉树的 根节点 root,请找出该二叉树的 最底层 最左边节点的值。

假设二叉树中至少有一个节点。

示例 1:

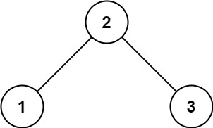
tree1

输入: root = [2,1,3]
输出: 1

示例 2:

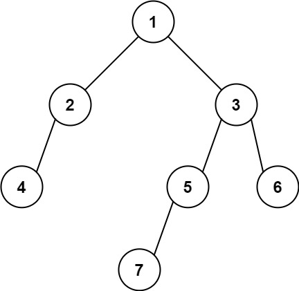
tree2

输入: [1,2,3,4,null,5,6,null,null,7]
输出: 7

提示:

  • 二叉树的节点个数的范围是 [1, 104]
  • −231 <  = Node.val <  = 231 − 1

标签

树, 深度优先搜索, 广度优先搜索, 二叉树


题解

【找树左下角的值】常规二叉树遍历の『DFS』&『BFS』

二叉树的搜索

要求找最深最左边的结点,可以使用常规二叉树遍历的深度优先搜索或广度优先搜索方法。

  • 深度优先搜索:按照先左后右的顺序遍历子树,最先搜索到的最深的结点即所求的结点
  • 广度优先搜索:分层搜索,每层记录最左边的结点,最深一层记录的即所求结点

DFS

1
2
3
4
5
6
7
8
9
10
11
12
13
14
15
# Code language: Python
class Solution:
def findBottomLeftValue(self, root: Optional[TreeNode]) -> int:
ans, h = 0, 0

def dfs(root, height):
if root:
nonlocal ans, h
if height > h:
ans, h = root.val, height
if root.left: dfs(root.left, height + 1)
if root.right: dfs(root.right, height + 1)

dfs(root, 1)
return ans
1
2
3
4
5
6
7
8
9
10
11
12
13
14
15
16
17
18
19
// Code language: Java
class Solution {
int h = 0, val = 0;
public int findBottomLeftValue(TreeNode root) {
dfs(root, 1);
return val;
}

public void dfs(TreeNode root, int height) {
if (root != null) {
if (height > h) {
h = height;
val = root.val;
}
dfs(root.left, height + 1);
dfs(root.right, height + 1);
}
}
}
1
2
3
4
5
6
7
8
9
10
11
12
13
14
15
16
17
18
19
// Code language: C++
class Solution {
public:
int findBottomLeftValue(TreeNode* root) {
int ans = 0, h = 0;
function<void(TreeNode*, int)> dfs = [&ans, &h, &dfs](TreeNode* root, int height) {
if (root != nullptr) {
if (h < height) {
ans = root->val;
h = height;
}
if (root->left != nullptr) dfs(root->left, height + 1);
if (root->right != nullptr) dfs(root->right, height + 1);
}
};
dfs(root, 1);
return ans;
}
};

BFS

1
2
3
4
5
6
7
8
9
10
11
12
13
14
# Code language: Python
class Solution:
def findBottomLeftValue(self, root: Optional[TreeNode]) -> int:
ans = 0
st = collections.deque([root])
while st:
ans = st[0].val
# 注意这里 len(st) 只在创建 range 迭代器的时候进行唯一一次传参
# 循环中不会传参也不会更新 range 迭代器的终点值
for _ in range(len(st)):
cur = st.popleft()
if cur.left: st.append(cur.left)
if cur.right: st.append(cur.right)
return ans
1
2
3
4
5
6
7
8
9
10
11
12
13
14
15
16
17
18
19
// Code language: Java
class Solution {
public int findBottomLeftValue(TreeNode root) {
Deque<TreeNode> st = new ArrayDeque<>();
if (root != null) st.add(root);
int ans = 0;
while (!st.isEmpty()) {
ans = st.peekFirst().val;
for (int i = 0, n = st.size(); i < n; ++i) {
TreeNode cur = st.pollFirst();
if (cur.left != null)
st.addLast(cur.left);
if (cur.right != null)
st.addLast(cur.right);
}
}
return ans;
}
}
1
2
3
4
5
6
7
8
9
10
11
12
13
14
15
16
17
18
19
20
21
// Code language: C++
class Solution {
public:
int findBottomLeftValue(TreeNode* root) {
queue<TreeNode*> st;
if (root != nullptr) st.push(root);
int ans = 0;
while (!st.empty()) {
ans = st.front()->val;
for (int i = 0, n = st.size(); i < n; ++i) {
TreeNode* cur = st.front();
st.pop();
if (cur->left != nullptr)
st.push(cur->left);
if (cur->right != nullptr)
st.push(cur->right);
}
}
return ans;
}
};
  • 时间复杂度: O(n),需要遍历整棵树
  • 空间复杂度: O(n),栈或队列的开销

如果对你有帮助的话,请给我点个赞吧~

欢迎前往 我的博客Algorithm - Github 查看更多题解

--- ♥ end ♥ ---

欢迎关注我呀~